|
|
||
|
AGENDA
City Plan Hearings Panel meeting Monday, 2 October 2023 to Tuesday, 10 October 2023
Plan Change 33 - Enabling Housing Supply - Session 2 – Substantive Hearing |
||
|
I hereby give notice that City Plan Hearings Plan meetings will be held on: |
||
|
Date: |
Time: |
Location: |
|
Monday, 2 October 2023 Tuesday, 3 October 2023 Wednesday, 4 October 2023 |
1.30am 9am 9am |
BoP Regional Council Chambers, 1 Elizabeth Street, Tauranga |
|
Thursday, 5 October 2023 Friday, 6 October 2023 |
9am 9am |
Mount Maunganui Lifeguard Services, downstairs function room, 21 Adams Avenue, Tauranga |
|
Monday, 9 October 2023 |
9am |
BoP Regional Council Chambers, 1 Elizabeth Street, Tauranga |
|
Tuesday, 10 October 2023 |
9am |
Holy Trinty Church Hall, 215 Devonport Road, Tauranga |
|
Please note that this meeting will be livestreamed and the recording will be publicly available on Tauranga City Council's website: www.tauranga.govt.nz. |
||
|
Please refer to the following web link for all documentation, including hearing schedule, for this hearing: Plan Change 33 – Enabling housing supply) |
||
|
Marty Grenfell Chief Executive |
||
Membership
|
Chairperson |
Commissioner David Hill |
|
Members |
Commissioner Fraser Campbell Commissioner Richard Knott Commissioner Vicki Morrison-Shaw |
|
Quorum |
All members |
|
Casting Vote of Chairperson |
The Chairperson has a deliberative vote and, in the case of equality of votes, has a casting vote. |
|
Meeting frequency |
As required |
Role
· The independent hearings commissioners are to conduct the hearings and make decisions in respect to the following plan changes:
○ Plan Change 26 – Housing Choice (withdrawn on 15 August 2022)
○ Plan Change 27 – Flooding from Intense Rainfall (some parts withdrawn on 15 August 2022)
○ Plan Change 30 – Earthworks
○ Plan Change 33 – Enabling Housing Supply
Scope and power to act
· Pursuant to section 34A(1) of the Resource Management Act 1991, independent hearings commissioners David Hill (chair), Richard Knott, Fraser Campbell and Vicki Morrison-Shaw were appointed by the Council on 30 August 2021 to exercise and perform all relevant delegations made by Resolution CO9/21/4 (see below), including (but not limited to) conducting hearings and making decisions in respect of Plan Change 26 (Housing Choice), Plan Change 27 (Flooding from intense rainfall) and Plan Change 30 (Earthworks).
· Pursuant to clause 96(1) of Part 6 of Schedule 1 to the Resource Management Act 1991, independent hearings commissioners David Hill (chair), Richard Knott, Fraser Campbell and Vicki Morrison-Shaw were appointed to carry out the role of independent hearings panel under clause 96(1)(a), in respect of Plan Change 33 - Enabling Housing Supply made by Resolution CO15/22/11 including powers made under the earlier resolution CO9/21/4, all functions and powers or duties required to carry out their role and to hold a hearing under Clause 8B of Schedule 1 of the RMA and the same duties and powers as a local authority under clause 98 of Schedule 1 of the RMA.
· For the avoidance of doubt, the delegated authority of the hearings panel does not include the approval of a plan under clause 17 of Schedule 1 of the Resource Management Act 1991.
Background
· On 13 October 2020, Council resolved the adoption of three plan changes to the Tauranga City Plan. Public notification of the plan changes was undertaken between 16 November 2020 and 1 February 2021.
· Public notification of the summary of submissions and seeking further submissions l commenced on Monday 31 May 2021, with further submissions closing on 25 June 2021.
· On 10 May 2011 the Council resolved to appoint independent hearings commissioners (including chair) to the hearing panel with the appropriate expertise and Resource Management Act 1991 (RMA) accreditation to hear the three plan changes.
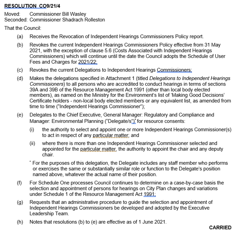
· On 31 May 2021 the Council resolved the following:

· On 30 August 2021 the Council appointed the independent hearings commissioners to the City Plan Hearings Panel and discharged the City Plan Hearings Committee.
· On 15 August 2022 the Council resolved to withdraw Plan Change 26 (Housing Choice). For further information refer to https://www.tauranga.govt.nz/council/council-documents/tauranga-city-plan/proposed-plan-changes/withdrawn-plan-change-26-housing-choice
·
On 15 August 2022 the Council resolved to
withdrawn the following parts of Plan Change 27 (Flooding from Intense
Rainfall):
§ 14B.3.7(b) Site Coverage – Suburban Residential Zone and additional Note
§ 14B.3.8(b) Site Coverage – Large Lot Residential Zone and additional Note
§ 14B.6(a)(x) and (b)(vii) Restricted Discretionary Activity Rules
§ 14B.6.1.9 Site Coverage
§ 14D.4.2.9(d) Site Coverage
§ 14D.4.2.14(w) Restricted Discretionary Activities – Matters of Discretion and Conditions
For further information refer to https://www.tauranga.govt.nz/council/council-documents/tauranga-city-plan/proposed-plan-changes/plan-change-27-flooding-from-intense-rainfall
· On 15 August 2022 the Council resolved to adopt Plan Change 33 - Enabling Housing Supply for public notification. The public submission period was 17 August-23 September 2022 and further submissions were invited from 28 November to 9 December 2022. Hearings are due in mid-late 2023. For further information refer to https://www.tauranga.govt.nz/council/council-documents/tauranga-city-plan/proposed-plan-changes/plan-change-33-enabling-housing-supply
· On 15 August 2022 the Council appointed the independent hearings commissioners to hear submissions and further submissions and make recommendations in respect of Plan Change 33 – Enabling Housing Supply.
Standing orders and hearings procedure
The City Plan Hearings Panel has decision-making authority and as such it is a subordinate decision-making body of Council. This means that Council’s current Standing Orders will apply to it. Standing Order 19.3 gives the Chairperson of the panel a casting vote.
Standing Order 3.6 enables the panel to amend meeting procedures for the hearings. The hearings panel can do this by adopting a default set of hearings procedures for the three city plan hearings. These hearings procedures will need to be consistent with the requirements relating to hearings in the RMA (sections 39 to 42) and these can be adopted at its first meeting. Some relevant Standing Orders will continue to apply once the hearings procedures are adopted (for example, those relating to voting).